Product —  10 Jun 2014

Geislinger Acoustics - How to reduce the transfer of structure borne sound in couplings

In many cases, torsional vibrations are a reason for the generation of noise emissions. The primary path of these sound transmissions usually goes from a source like the engine through the engine mount into the surrounding structure.

Meanwhile, the engine mounts are improved to block most of these emissions. Thus, e.g. in luxury yachts and cruise ships, the secondary path from the engine via the coupling into the gearbox and finally into the surrounding structure becomes a critical issue. As the power train between the gearbox and the propeller has to be stiff, the classical methods for the reduction of structure borne sound are of limited use for these parts.

The elastic coupling is a driveline component, where modifications can be realised in order to reduce the overall sound emission.

To reduce the sound transfer directly in the couplings, a test rig has been constructed, which allows the measurement of the transmission loss under realistic load conditions. The coupling can be pre-stressed and torsional vibrations as well as structure borne sound are generated using electrodynamic shakers. The measured transmission loss is the base for the acoustic optimization of the couplings.

Theoretical Background

In machine acoustics, the structure borne noise is the main subject of research. The following image shows a typical design of a marine powertrain using a high-speed engine: The torque is transmitted from the engine via a coupling (in this case a Geislinger Gesilco® coupling) to the gearbox.

Geislinger silenco transfer of structure borne noise 1
Geislinger silenco transfer of structure borne noise 1

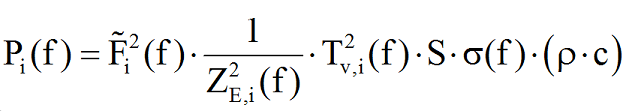
The way how noise is generated, transferred through a structure and finally radiated into the surrounding area can be described with the general equation of machine acoustics:

Geislinger general equation of machine acoustics 1
Geislinger general equation of machine acoustics 1

The equation includes the following parameters:

P = acoustic power
F = excitation force
ZE = input impedance
Tv = transfer function of the structure born sound
σ = radiation factor
(ρ·c)Air = impedance of the surrounding media (usually air)
S = radiating surface

Measurement of sound transfer in couplings

To measure the relevant acoustic parameters, a special acoustic test rig has been designed at Geislinger. For the measurement, the coupling can be mounted with or without axial or radial displacement. It can also be pre-stressed/pre-loaded with torque.

Methods for the reduction of the sound transfer

One of the main advantages for Geislinger is the availability and experience of couplings produced out of different materials such as steel, composite material or elastomer. Each material has different acoustic behavior. Combining these different materials, a coupling can be acoustically adapted to the needs of the specific costumer.

Contact Form